Bentos - i zvířata jsou někdy na dně

autor red. | kategorie Biologie Střední škola
1 Úkol
1.1 Základní úkoly
1.1.1 Odeberte několik vzorků bentosu z vodního toku.
1.1.2 Určete zástupce z vzorků do vyšších taxonů (řády, čeledi, rody).
1.2 Fakultativní úkoly
1.2.1 Porovnejte délkovou strukturu určených taxonů mezi vzorky.
1.2.2 Zjistěte rozdíly v početnosti jednotlivých taxonů mezi vzorky.
1.2.3 Zjistěte morfologické parametry toku v místech odběru.
1.2.4 Porovnejte vliv parametrů toku na diverzitu bentosu.
2 Časová dotace
2.1 Základní časová dotace: 6 hodin
Teoretická příprava: 1 × 2 hodiny
Odběr vzorků bentosu: 1 × 2 hodiny
2.2 Fakultativní úkoly
Teoretická příprava: 1 × 2 hodiny
Analýza četností: 1 × 1 hodina
Analýza délkové struktury: 1 × 1 hodina
Zjištění parametrů toku: 0 hodiny (bez ztráty času lze zjistit při realizaci úkolu 1)
Vliv parametrů prostředí na bentos: 1 × 2 hodiny
3 Pomůcky a materiál
3.1 Základní pomůcky
3.1.1 Odběr bentosu: pro každou skupinu – 2 pinzety, akvárium nebo kádinka 500 ml, skleněná láhev 250 ml se zátkou, 85% etanol
3.1.2 Určování bentosu – stereoskopická lupa, mikroskop, podložní sklíčko, krycí sklíčko, malé Petriho misky, preparační jehla, voda, určovací klíče
3.2 Pomůcky pro fakultativní úkoly
3.2.1 Statistické analýzy: stačí MS Excel 2003 a vyšší, volitelně jiný statistický program (NCSS, Statistica, …)
4 Hlavní a dílčí cíle
4.1 Základní cíle
4.1.1 Seznámit s ekologickou skupinou bentos.
4.1.2 Prakticky použít způsoby odběru bentosu.
4.1.3 Pomocí mikroskopické techniky a klíče určit zástupce bentosu a zařadit do vyšších taxonů.
4.2 Fakultativní cíle
4.2.1 Pochopit základy statistického zpracování biologických dat – rozdělení souboru dat, parametry polohy.
4.2.2 Pochopit základy statistického zpracování biologických dat – testy dobré shody.
4.2.3 Najít vztah mezi ekologickou funkcí bentosu, prostředím, které obývají a adaptacemi na toto prostředí.
4.2.4 Pochopit termín biodiverzita a umět spočítat index diverzity společenstva.
5 Mezipředmětové vztahy a přesahy
Tento materiál přesahuje významně biologii, dotýká se geografie (vodní toky), matematiky (statistika) a IVT (zpracování dat v MS Excel).
6 Obecný úvod k tématu
6.1 Bentos
Bentos je soubor organismů žijících na dně tekoucích nebo stojatých vod. Člení se na formy přisedlé a vznášející se nebo plující:
- bakteriobentos – bakterie přisedlé k podkladu
- fytobentos – řasy, sinice, rozsivky tvořící nárosty
- zoobentos (obr. 1–8)
Zoobentos je možné podle velikosti rozdělit na mikrozoobentos a makrozoobentos, tj. makroorganismy, larvy hmyzu, měkkýše, korýše, kroužkovce, ploštěny a další. Organismy bentosu lze členit i podle substrátu, na kterém se vyskytují:
- psamon – organismy písčitého dna
- epilitické organismy – organismy kamenitého podkladu
- epipelické organismy – organismy bahnitého dna
6.1.1 Tekoucí vody
Tekoucí vody jsou rozděleny podle charakteru dna a prouděni na eukrenal, hypokrenal, rhitral a potamal.
Prameniště a pramenné stružky jsou druhově velmi chudé. Mezi typické krenobionty patří ploštěnka horská (Crenobia alpina), larvy komárů (Culextorrentium), chrostíků (Crunoeciairrorata a Ptilocolepus granulatus) a brouků (Hydroporus ferrugineus a Agabus guttatus). V prameništích se vyskytují ojediněle i některé druhy z nižších úseků toku.
Společenstvo rhitrálu je složeno především z reofilních druhů, které jsou na ně patřičně adaptovány. Druhově nejbohatší jsou následující skupiny: jepice (Heptageniidae, Baetidae, Leptophlebiidae), pošvatky (Capniidae, Leuctridae, Nemouridae), chrostíci (Rhyacophilidae, Odontoceridae, Glossosomatidae, Philopotomidae), dvoukřídlí (Blephariceridae, Simuliidae), a brouci (Elmidae, Helodidae, Hydraenidae).
Potamal je tvořen euryvalentním bentosem, mezi který patří pakomáři, jepice (Siphlonuridae, Potamanthidae, Polymitarcidae, Caenidae), pošvatky (Perlodidae, Perlidae), chrostíci (Leptoceridae, Hydroptilidae), dvoukřídlí (Tipulidae, Limoniidae, Psychodidae, Chironomidae, Culicidae, Tabanidae aj.), brouci (Dytiscidae, Haliplidae) a ploštice (Corixidae, Notonectidae).
Druhově chudé jsou úseky toků pod nádržemi, kde se často masivně vyskytují muchničky Simulium argyreatum, S. verecundum a chrostíci rodu Hydropsyche.
6.1.2 Hustota bentosu
V podmínkách malých toků se pohybuje početnost bentosu v řádech tisíců jedinců na metr čtvereční. V bahnitém dně stojatých vod jsou to až desítky tisíc jedinců.
6.1.3 Potravní typy bentosu
Bentos je součástí všech úrovní potravních řetězců. Řada druhů je fytofágní nebo detritofágní (larvy drobných pošvatek), velké druhy jsou dravci (Perla). Mezi dravce patří i chrostíci rodu Hydropsyche nebo Rhyacophyla, stejně jako pakomáři z podčeledí Tanypodinae a Orthocladiinae.
Velmi běžným potravním typem larev jsou detritofágové a mikrofágové. Někteří mají speciální filtrační zařízení (např. muchničky). Fytofágní typy požírají části makrovegetace nebo řasové nárosty, popř. fytoplankton. Patří sem především četné druhy larev jepic a chrostíků, pakomárů, některé druhy komárů, Zvláštním typem jsou např. chrostíci z čeledi Limnephilidae, kteří konzumují převážně listovou hmotu.
Ve skupině parazitických typů larev je zastoupeno více řádů hmyzu. Nejvíce parazitických druhů patří řádu Hymenoptera.
![]() |
![]() |
|
Obr. 1 chrostík (Hydropsyche sp.) |
Obr. 2 jepice (Heptageniidae) |
![]() |
![]() |
|
Obr. 3 beruška (Asselus aquaticus) |
Obr. 4 jepice (Beatis sp.) |
![]() |
![]() |
|
Obr. 5 jepice (Ephemeroptera) |
Obr. 6 pakomárovec (Ceratopogon) |
![]() |
![]() |
|
Obr. 7 muchnička (Simuliidae) |
Obr. 8 pijavky (Hirudinea) |
Obr. 1 – 8 Mikrofotografie různých zástupců bentosu. Foto Pavel Vlach
6.1.4 Metodika sběru, uchovávání a preparace vodních larev hmyzu
Bentos nalezneme na všech typech substrátů – jak na kamenitém dně, tak v písku či bahnitých usazeninách, hojně také ve vodním rostlinstvu. Metody sběru i používané pomůcky se liší hlavně podle substrátu, na kterém nebo ve kterém larvy žijí.
Vodní larvy hmyzu žijí v různých typech sedimentů – od bahnitých přes písčité až po štěrkovité, získávají se propíráním přes síto. Velikost ok pro tyto účely se pohybuje kolem 1 mm.
Na kamenitém substrátu je nejvýhodnější sbírat bentos pomocí hrubé vodní síťky, která je opatřena pevným držadlem. Při vlastním sběru postupujeme tak, že síťku (cedník, síť) klademe za kámen ve směru proudu a při vyzvedávání kamene z vody pak pod něj. Larvy se často při pohnutí kamenem pouštějí a jsou splaveny do síťky. Pevně přichycené organismy obíráme s kamenů pinzetou. Používáme často tzv. kick-sampling – nad nastavenou síťkou se rozrývá dno nohou.
Ke sběru bentosu z rostlin se používá vodní síť, cedníky nebo síto, kterými se prosmekává vodní rostlinstvo.
6.2 Determinace jednotlivých druhů bentosu
Deteminace je prováděna pomocí klíčů a fixovaného materiálu.
6.2.1 Fixace materiálu
Při komplexním sběru bentosu je vhodné nasbírané vzorky třídit. Pro běžnou determinaci obvykle postačí usmrcovat a zároveň fixovat bentos v 75% etanolu. Po několika dnech je potřeba etanol vyměnit, protože především velké druhy uvolňují do lihu vodu a jeho koncentrace klesá. Při koncentraci pod 40 % hrozí macerace nasbíraného vzorku!
6.2.2 Preparace larev
Při determinaci často přistupujeme k preparaci některých orgánů, nejčastěji ústních ústrojů (neplatí při hrubé determinaci do vyšších taxonů). Preparace se provádí pod binokulární lupou a z vypreparovaných částí zhotovujeme mikroskopické preparáty.
6.2.3 Klíč k určování řádů vodních larev a kukel hmyzu (Rozkošný, 1980), obr. 9 – 11.
1 Spodní pysk přeměněn na vymrštitelný uchvacovací ústroj, tzv. masku. Na konci těla žábry ve tvaru tří přívěsků nebo krátké a tuhé trnovité výběžky, tvořící anální pyramidu. Vážky
- Maska není vytvořena, konec těla jinak upraven. 2
2(1) Ústní ústrojí bodavě-savé, ve tvaru článkovaného chobotu směřujícího šikmo dozadu nebo dopředu. Ploštice
- Ústní ústrojí jiného typu, článkovaný chobot není vytvořen. 3
3(2) Dospělé larvy s dobře patrnými křídlovými pochvami, na konci zadečku 2 – 3 dlouhé článkované přívěsky. 4
- Bez křídlových pochev, na konci zadečku nejvýše 2 krátké přívěsky nebo nepárový přívěsek střední. Jsou-li vyvinuty přívěsky 3, pak nejsou článkované. 5
4(3) Na konci těla 3 přívěsky, 2 štěty a střední paštět, který je jen vzácně redukován. Žábry po stranách zadečku. Na konci chodidel jen jeden nepárový drápek. Jepice
- Na konci těla jen 2 štěty. Žábry chybějí nebo jsou vyvinuty na hrudi, kyčlích a na konci zadečku. Chodidla vždy se 2 drápky. Pošvatky
5(3) Na hrudních článcích tři páry končetin. 6
- Bez hrudních končetin, na tělních článcích jsou vyvinuty nejvýše nečlánkované panožky. 10
6(5) Kusadla úzká, mečovitá, nápadně delší než hlava. Síťokřídlí
- Kusadla kratší, nejvýše srpovitá, nikdy nepřesahují nápadně délku hlavy. 7
7 (6) Poslední článek zadečku nese jeden pár pošinek, larvy volné nebo v pouzdrech z různého materiálu. 8
- Poslední článek zadečku bez pošinek, larvy volné. 9
8(7) Na 3. až 6. zadečkovém článku 4 páry panožek s věncem háčků, pošinky na konci zadečku nečlánkované, panožkovité. Motýli
- Bez panožek na zadečkových článcích, pošinky často článkované, vždy s apikálním drápkem. Chrostíci
9(7) Prvních 7 článků zadečku s párovitými, článkovanými přívěsky po stranách. Poslední článek s dlouhým ochlupeným výběžkem. Střechatky
- Články zadečku většinou bez postranních přívěsků. Pokud jsou vyvinuty, pak jsou nečlánkované a poslední článek zadečku je jinak upraven. Brouci
10(5) Parazitické larvy žijící v těle larev a kukel vodního hmyzu nebo alespoň v jejich schránkách či kokonech, některé druhy parazitují ve vajíčkách vodního hmyzu.
Blanokřídlí
- Larvy volně žijící (výjimkou je pouze několik druhů pakomárů), vzácněji minující v pletivech vodních rostlin. 11
11 (10) Larvy většinou štíhlé a protáhlé, často s panožkami nebo lokomočními valy. Hlava dobře oddělená nebo v různé míře redukovaná. Funkční stigmata lokalizována obvykle na konec těla. Dvoukřídlí
- Larvy zavalité a většinou málo pohyblivé, často minující. Hlava nápadně sklerotizovaná, po stranách tělních článků 9 párů stigmat. Brouci

|
1 |
2 |
3 |
4 |
5 |
Obr. 9 Různé druhy bentosu (dle Rozkošného a kol., 1980): 1 - Jepice (Heptagenia sp.), 2 - jepice (Caenis sp.), 3 - vážka (Odonata), 4 - střechatka (Sialis sp.), 5 - potápník (Dytiscus sp.).
|
1 |
2 |
3 |
4 |
Obr. 10 Různé druhy bentosu (dle Rozkošného a kol., 1980): 1 - chrostík (Hydropsyche sp.), 2 - chrostík (Rhyacophylla sp.), 3 - chrostík (Limnephilidae), 4 - splešťule blátivá (Nepa rufina).

|
1 |
2 |
3 |
4 |
Obr. 11 Různé druhy bentosu (dle Rozkošného a kol., 1980): 1 - pakomár (Chaoborus sp.), 2 - pakomár (Chironomus sp. – kukla), 3 - pakomárovec (Ceratopogon sp.), 4 - muchnička (Simulis sp.).
6.3 Porovnání délkové struktury jednotlivých druhů mezi různými vzorky
V této kapitole se seznámíme s popisnými charakteristikami, charakterizujícími soubor dat.
Souborem dat se rozumí změřené délky jednotlivých druhů (pro jednoduchost zvolíme jeden nebo dva nejčastější druhy). Měli bychom hodnotit délku těch druhů, jejichž počet v každém vzorku přesáhne minimálně 10.
6.3.1 Parametry polohy
Základní popisnou charakteristikou je průměr, vypočtený jako součet všech hodnot a vydělený jejich počtem. Používá se jen tehdy, pokud má vzorek dat normální rozdělení (zjistíme pohledem nebo testuje nějakým testem, např. Kolmogorovým – Smirnovovým testem). V přípravě zamítnutí normality rozdělení dat v souboru použijeme medián, který je hodnotou, jež dělí řadu podle velikosti seřazených výsledků na dvě stejně početné poloviny.
V programu MX Excel se vypočte průměr pomocí funkce = PRŮMĚR (oblast dat) a medián pomocí funkce = MEDIÁN (oblast dat).
6.3.2 Směrodatná odchylka
Soubor dat, především míru variability souboru dat, vyjadřuje rozptyl, tj. součet druhých mocnin (=čtverců) odchylek datových bodů od průměru (mediánu). Častěji se používá směrodatná odchylka, které je druhou odmocninou rozptylu.
V programu MX Excel se vypočte rozptyl pomocí funkce = VARIANCE (oblast dat) a směrodatná odchylka pomocí = SMODCH (oblast dat).
6.3.3 Interval spolehlivosti
Dalším parametrem polohy je interval spolehlivosti, který udává kolik % hodnot ze souboru je obsaženo v daném intervalu. Např. 95 % říká, že 95 % hodnot je v daném intervalu. Používá se k eliminaci extrémních hodnot. V MS Excel se vypočte pomocí funkce = CONFIDENCE (alfa, SMODCH, velikost).
6.3.4 Analýza rozptylu
Analýzou rozptylu (ANOVA) porovnáváme datové soubory s normálním rozdělením. Testová charakteristika F určuje, zda jsou střední hodnoty souborů shodné (nulová hypotéza), nebo rozdílné (při zamítnutí nulové hypotézy). Analýzu ANOVA lze provést v MS Excel po zavedení doplňku Analýzy dat. Jedná se o maticový vzorec (viz nápověda k funkci).
6.4 Zjištění rozdílů v početnosti jednotlivých taxonů mezi vzorky
Analýzu četností provedeme pomocí testu dobré shody – Χ2 test. Připravíme data ve formátu početnosti jednotlivých druhů v řádcích (sloupce představují jednotlivá odběrná místa). Tabulku přeneseme do webové aplikace, která provede automaticky vyhodnocení (spočte očekávané frekvence a vypočte testovou hodnotu a hodnotu P, tj. pravděpodobnost zamítnutí nulové hypotézy o shodnosti).
Webová aplikace je zde: http://www.quantpsy.org/chisq/chisq.htm . Vliv parametrů prostředí na diverzitu bentosu.
6.4.1 Role bentosu v samočisticím procesu
Bentos se výrazně podílí na mineralizaci organické hmoty. Podíl larev hmyzu na mineralizaci organické hmoty není zanedbatelný. Při předpokládané konzumaci 0,5–1g listí za den pro larvy chrostíků se při běžných hustotách dostaneme až na cca 80 kg listí denně z 1 hektaru. Pakomáři a kroužkovci jsou také typičtí dekompozitoři.
6.4.2 Bentos jako složka potravy
Bentos představuje až 100% podíl v potravě některých druh ryb. V pstruhových tocích jsou mladí pstruzi, vranky, mřenky téměř zcela závislí na bentosu, jelec proudník nebo tloušť tuto složku obohacují o náletový hmyz nebo detrit. Stejná situace se týká bentosu v rybníce a rybniční obsádky, především kapra.
Bentos slouží jako potrava i vodním ptákům, je např. v jarní potravě kachen, potápek, bahňáků, racků a rybáků, stejně jako některých druhů pěvců (např. konipasi, skorec vodní, rákosník).
6.4.3 Bentos jako bioindikátor
Zásahy člověka do životního prostředí vodních organismů omezují nebo vyřazují z existence nejprve ty druhy, které jsou málo adaptabilní, zároveň však vytvářejí podmínky pro malou skupinu původních nebo nových druhů s hustou populací. Např. zahrazením toku přehradou vymizí většina původní flóry a fauny a vyvine se nová, kvantitativně i kvalitativně odlišná biocenóza. Přítomnost nebo nepřítomnost některých druhů, popřípadě ovlivnění celého biologického systému, způsobují také odpadní vody. Jejich vliv může být bud přímý, kladný (látky slouží některým organismům za potravu), nebo záporný (látky jsou přímo toxické), nebo se tento vliv projevuje nepřímo přes změny v obsahu kyslíku, charakteru dna, přes změny mechanické (např. zanášení dýchacích orgánů) aj.
6.4.4 Diverzita
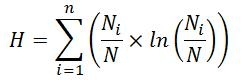
Diverzita je druhová rozmanitost. Popisuje společenstvo a je tím větší, čím je ve společenstvu vyšší počet druhů a podíl jednotlivých druhů na celkové početnosti je vyrovnaný. Diverzitu popisuje Shannonův index diverzity:

kde H je index diverzity, n počet druhů, Ni počet jedinců druhu i a N je celkový počet jedinců ve společenstvu.
7 Pracovní postup
7.1 Základní úkoly
7.1.1 Odběr vzorků bentosu
- Skupiny po 2–3 studentech se rozmístí na odlišná stanoviště v rámci podélného profilu toku (např. dolní tok, pod rybníkem, nad hrázkou, v peřejích apod.).
- Na stanovišti vyberte místo s vhodným substrátem a označte ho plastovým čtvercem o hraně 25 cm (nebo vytyčte jiným způsobem).
- Z označené plochy pinzetou vyberte všechny nalezené druhy a umístěte do akvária nebo kádinky.
- Zástupce bentosu převeďte do 85% etanolu do skleněné lahve s plastovou zátkou.
- Na lahev označte místo a datum odběru.
7.1.2 Určování bentosu
- Fixovaný bentos přendejte do velké Petriho misky a roztřiďte podle vyšších taxonů do menších Petriho misek.
- Určujte zástupce do nižších taxonů pomocí klíče (Rozkošný et. al, 1980).
- V případě nejasností vytvořte mikroskopické preparáty a pozorujte pod mikroskopem nebo binokulární lupou.
7.2 Fakultativní úkoly
7.2.1 Porovnání délkové struktury
- Vyberte jeden nebo dva taxony, které jsou zastoupeny nejpočetněji (např. muchničky, chrostíky, jepice nebo pakomáry) a v největším počtu odebraných vzorků.
- Pomocí milimetrového měřítka změřte všechny jedince.
- Zjištěné údaje o délkách zapište do tabulky v MS Excel.
- Pomocí funkce = ČETNOSTI převeďte číselné údaje do kategoriálních dat a zobrazte pomocí sloupcového grafu.
- Pomocí vzorců = PRŮMĚR, = SMODCH, = VARIANCE, případně dalších, vypočtěte základní popisné charakteristiky nasbíraných vzorků (viz nápověda v MS Excel).
- Pomocí analytického nástroje ANOVA porovnejte délkovou strukturu nasbíraných vzorků (viz nápověda MS Excel).
7.2.2 Zjištění rozdílů v početnosti
- Zjistěte počty jedinců určených taxonů ve vzorcích a zapište je do tabulky.
- Jednotlivé sloupce přeneste do webové aplikace http://www.quantpsy.org/ chisq/chisq.htm.
- Zjistěte hodnotu testového kritéria testu dobré shody (Χ2).
- Odpovězte, zda se zjištěné početnosti (frekvence) vzájemně liší.
7.2.3 Zjištění morfologických parametrů toku v místě odběru bentosu
Na odběrném stanovišti zaznamenejte následující parametry:
a) hloubku
b) rychlost proudění (stopkami změřte dobu, za kterou urazí vzdálenost 2 m plavající předmět)
c) převládající typ substrátu
d) průhlednost vody (až na dno, jen do středních hloubek, trvale zakalené)
e) znečištění (popis zápachu nebo zabarvení)
7.2.4 Porovnání vlivu parametrů toku na diverzitu bentosu
- Ze zjištěných početností vypočítejte index diverzity.
- Odpovězte na otázky:
- Na jakém stanovišti byl největší počet druhů?
- Na jakém stanovišti byl největší index diverzity a proč?
- Které druhy jsou typické pro čisté, rychle proudící toky?
- Které druhy jsou typické pro pomalu proudící toky?
- Které druhy jsou typické pro znečištěné toky?
8 Metodické poznámky
Celý materiál klade nároky na vyučujícího ve smyslu zvládání práce na úrovni pokročilý v MS Excel. Alternativně lze situaci řešit jako mezipředmětový projekt, když v rámci biologie proběhne sběr a určení a v IVT žáci realizují statistické výpočty pod vedením učitele IVT.
9 Použitá literatura a další zdroje
Allan, J.D. 1995. Stream ecology. Chapman&Hall, London.
Jarošík, V. 2005. Růst a regulace populací. Academia, Praha.
Jeffries, M., Mills, D. 1990. Freshwater ecology. John Wiley&Sons, Chicester.
Kubíček, F. 1980. Larvy hmyzu ve vodních ekosystémech ČSSR. In: Rozkošný, R. (ed.) 1980. Klíč vodních larev hmyzu. Academia, Praha.
Lellák, J., Kubíček, F. 1991. Hydrobiologie. Karolinum, Praha.
Zelinka, M. 1980. Metodika sběru, uchovávání a preparace vodních larev hmyzu. In: Rozkošný, R. (ed.) 1980. Klíč vodních larev hmyzu. Academia, Praha.
Zvára, K. 2008. Biostatistika. Karolinum, Praha.






















Poslední komentáře